Упр.120 ГДЗ Бунимович Булычев 10 класс (Алгебра)

Решение #1

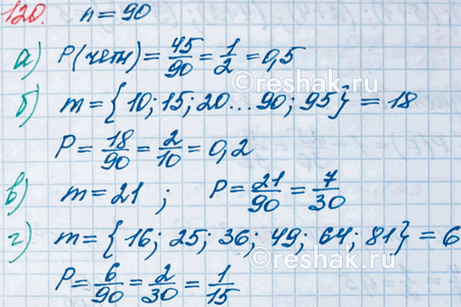
Изображение 120. Наугад выбрано двузначное число. Какова вероятность того, что оно окажется:а) чётным;б) кратным 5;в) простым;г) квадратом натурального...

Рассмотрим вариант решения задания из учебника Бунимович, Булычев 10 класс, Просвещение:
120. Наугад выбрано двузначное число. Какова вероятность того, что оно окажется:
а) чётным;
б) кратным 5;
в) простым;
г) квадратом натурального числа?
*Цитирирование задания со ссылкой на учебник производится исключительно в учебных целях для лучшего понимания разбора решения задания.
*К сожалению, временные проблемы с публикацией комментариев с мобильных устройств.