Упр.12.28 ГДЗ Мерзляк 10 класс Углубленный уровень (Алгебра)
Решение #1

Рассмотрим вариант решения задания из учебника Мерзляк, Номировский, Поляков 10 класс, Просвещение:
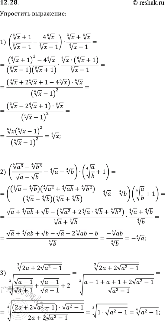
12.28. Упростите выражение:
1) ((x^(1/6)+1)/(x^(1/6)-1)-4x^(1/6)/(x^(1/3)-1))·(x^(1/3)+x^(1/6))/(x^(1/6)-1);
2) (((a^3)^(1/4)-(b^3)^(1/4))/(va-vb)-a^(1/4)-b^(1/4))·((a/b)^(1/4)+1);
3) (2a+2v(a^2-1))/(v(a-1)/v(a+1)+v(a+1)/v(a-1)+2).
Похожие решебники
Популярные решебники 10 класс Все решебники
*размещая тексты в комментариях ниже, вы автоматически соглашаетесь с пользовательским соглашением