🔥ГДЗ под запретом?

Пункт 12 ГДЗ Рабочая тетрадь Ткачёва Виленкин 6 класс (Математика)

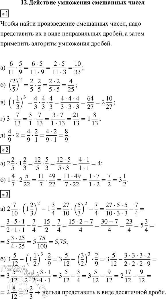
Изображение 1. Вычислите:а) 6/11 · 5/9; б) (2/5)^2; в) (1 1/3)^3; г) 3 · 7/13; д) 4/9 · 2.2. Вычислите:а) 2 2/5 · 1 2/3; б) 1 4/7 · 2 5/22.3. Вычислите и...

Рассмотрим вариант решения задания из учебника Ткачёва, Виленкин 6 класс, Просвещение:
1. Вычислите:
а) 6/11 · 5/9;
б) (2/5)^2;
в) (1 1/3)^3;
г) 3 · 7/13;
д) 4/9 · 2.
2. Вычислите:
а) 2 2/5 · 1 2/3;
б) 1 4/7 · 2 5/22.
3. Вычислите и представьте ответ в виде десятичной дроби:
а) 2 7/10 · (1 2/3)^2 - 1 3/4;
б) 3 5/12 - (1 1/2)^3 · 2/9.
*Цитирирование задания со ссылкой на учебник производится исключительно в учебных целях для лучшего понимания разбора решения задания.
*К сожалению, временные проблемы с публикацией комментариев с мобильных устройств.