Упр.1115 ГДЗ Мерзляк Полонский 8 класс (Алгебра)
Решение #1 (Учебник 2025)

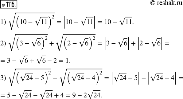
Рассмотрим вариант решения задания из учебника Мерзляк, Полонская, Якир 8 класс, Просвещение:
Упростите выражение:
1) корень (10 - корень 11)2;
2) корень (корень 10 - 11)2;
3) корень (корень 10 - корень 11)2;
4) корень (3 - корень 6)2 + корень (2 - корень 6)2;
5) корень (корень 24 - 5)2 - корень (корень 24 - 4)2.
Похожие решебники
Популярные решебники 8 класс Все решебники
*К сожалению, временные проблемы с публикацией комментариев с мобильных устройств.