Упр.11 ГДЗ Мерзляк Полонский 8 класс (Алгебра)
Решение #1 (Учебник 2025)
Решение #2 (Учебник 2025)

Рассмотрим вариант решения задания из учебника Мерзляк, Полонская, Якир 8 класс, Просвещение:
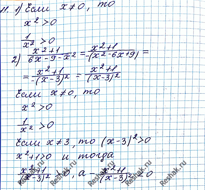
Докажите, что при всех допустимых значениях переменной х значение дроби:
1) 1/x2 положительное;
2) (x2+1)/(6x-9-x2) отрицательное.
Похожие решебники
Популярные решебники 8 класс Все решебники
*К сожалению, временные проблемы с публикацией комментариев с мобильных устройств.