Упр.1068 ГДЗ Мерзляк Полонский 5 класс (Математика)
Решение #1 (Учебник 2024)
Решение #2 (Учебник 2019)
Решение #3 (Учебник 2019)

Рассмотрим вариант решения задания из учебника Мерзляк, Полонский, Якир 5 класс, Просвещение:
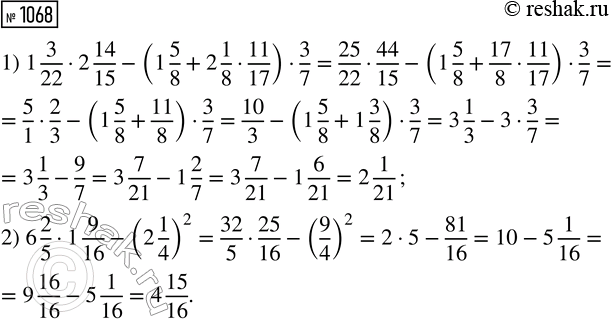
Найдите значение выражения:
1) 1 3/22 · 2 14/15 - (1 5/8 + 2 1/8 · 11/17) · 3/7;
2) 6 2/5 · 1 9/16 - (2 1/4)^2.
Участники авторалли должны были преодолеть 565 км. В первый день было пройдено 72 % маршрута. Сколько километров было пройдено в первый день?
Похожие решебники
Популярные решебники 5 класс Все решебники
*К сожалению, временные проблемы с публикацией комментариев с мобильных устройств.