Упр.1057 ГДЗ Мерзляк Полонский 5 класс (Математика)
Решение #1 (Учебник 2024)
Решение #2 (Учебник 2019)

Рассмотрим вариант решения задания из учебника Мерзляк, Полонский, Якир 5 класс, Просвещение:
Расшифруйте фамилию выдающегося математика и педагога, который много лет работал с одарённой молодёжью, был одним из руководителей первых московских олимпиад юных математиков и школьного математического кружка при Московском государственном университете им. М. В. Ломоносова. Номер примера соответствует месту, на котором стоит буква в слове.
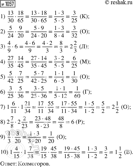
1) 13/30 · 18/65; 5) 5/42 · 7/25; 9) 1/3 · 3/20;
2) 5/24 · 9/20; 6) 3/25 · 5/36; 10) 1 4/15 · 1 7/38.
3) 4/9 · 6; 7) 1 6/11 · 1 21/34;
4) 27/35 · 14/45; 8) 2 7/8 · 2 2/23;
Найдите:
1) 1 % от числа 76; 4) 30 % от числа 120;
2) 7 % от числа 300; 5) 94 % от числа 16,5;
3) 26 % от числа 10; 6) 156 % от числа 62.
Похожие решебники
Популярные решебники 5 класс Все решебники
*размещая тексты в комментариях ниже, вы автоматически соглашаетесь с пользовательским соглашением