Упр.1038 ГДЗ Мерзляк Полонский 8 класс (Алгебра)
Решение #1 (Учебник 2025)

Рассмотрим вариант решения задания из учебника Мерзляк, Полонская, Якир 8 класс, Просвещение:
Найдите множество решений системы неравенств:
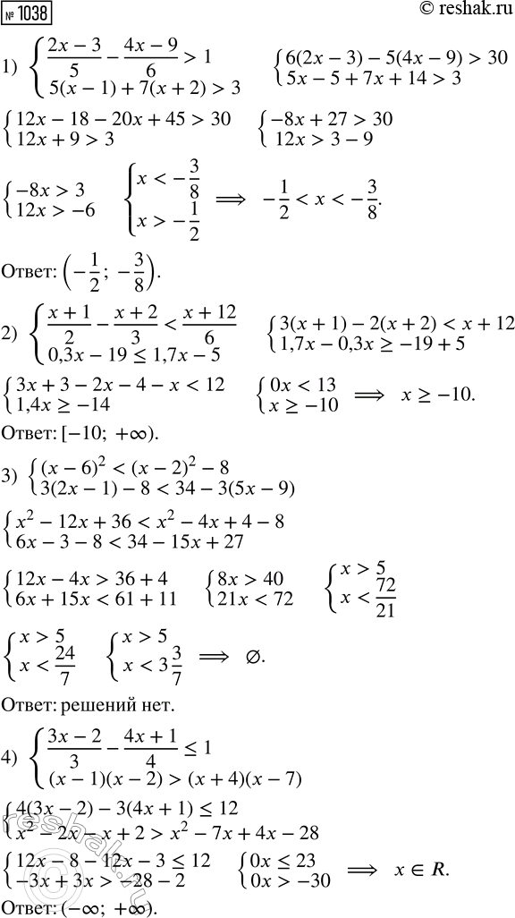
1) {(2x - 3)/5 - (4x - 9)/6 > 1, 5(x - 1) + 7(x + 2) > 3;
2) {(x + 1)/2 - (x + 2)/3 < (x + 12)/6, 0,3x - 19 <= 1,7x - 5;
3) {(x - 6)^2 < (x - 2)^2 - 8, 3(2x - 1) - 8 < 34 - 3(5x - 9);
4) {(3x - 2)/3 - (4x + 1)/4 <= 1, (x - 1)(x - 2) > (x + 4)(x - 7).
Похожие решебники
Популярные решебники 8 класс Все решебники
*К сожалению, временные проблемы с публикацией комментариев с мобильных устройств.