Упр.1031 ГДЗ Мерзляк Полонский 8 класс (Алгебра)
Решение #1 (Учебник 2025)

Рассмотрим вариант решения задания из учебника Мерзляк, Полонская, Якир 8 класс, Просвещение:
Решите неравенство:
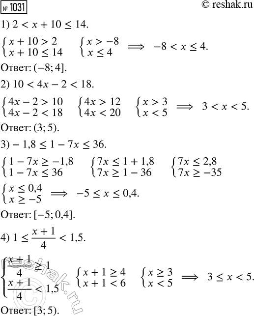
1) 2 < x + 10 <= 14;
2) 10 < 4x - 2 < 18;
3) -1,8 <= 1 - 7x <= 36;
4) 1 <= (x + 1)/4 < 1,5.
Похожие решебники
Популярные решебники 8 класс Все решебники
*К сожалению, временные проблемы с публикацией комментариев с мобильных устройств.