Упр.1013 ГДЗ Мерзляк Полонский 8 класс (Алгебра)
Решение #1 (Учебник 2025)

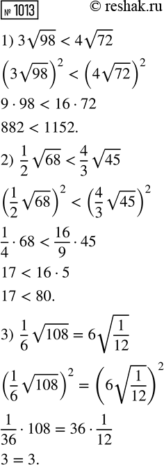
Рассмотрим вариант решения задания из учебника Мерзляк, Полонская, Якир 8 класс, Просвещение:
Сравните значения выражений:
1) 3 корень из (98) и 4 корень из (72);
2) 1/2 корень из (68) и 4/3 корень из (45);
3) 1/6 корень из (108) и 6 корень из (1/12).
Похожие решебники
Популярные решебники 8 класс Все решебники
*К сожалению, временные проблемы с публикацией комментариев с мобильных устройств.