Упр.1002 ГДЗ Мерзляк Полонский 5 класс (Математика)
Решение #1 (Учебник 2024)
Решение #2 (Учебник 2019)

Рассмотрим вариант решения задания из учебника Мерзляк, Полонский, Якир 5 класс, Просвещение:
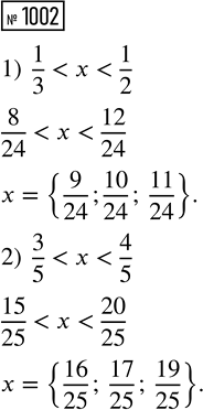
Укажите три числа, каждое из которых:
1) больше 1/3, но меньше 1/2; 2) больше 3/5, но меньше 4/5.
Найдите корень уравнения:
1) 9b + 6b - 0,15 = 6,15; 4) 16,4 - 5,4x = 14,78;
2) 17x - х + 5х - 1,9 = 17; 5) 10,2x - 7,4x + 0,88 = 2;
3) 1,7x + 88,42 = 94,2; 6) 0,6y + 0,18y - 2,376 = 5,58.
Похожие решебники
Популярные решебники 5 класс Все решебники
*К сожалению, временные проблемы с публикацией комментариев с мобильных устройств.