Упр.10.9 ГДЗ Мерзляк 11 класс Базовый уровень (Алгебра)
Решение #1

Рассмотрим вариант решения задания из учебника Мерзляк, Номировский, Полонский 11 класс, Просвещение:
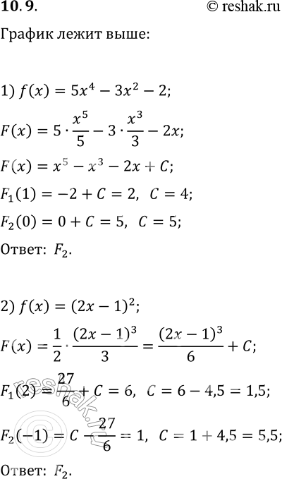
10.9. Функции F_1 и F_2 являются первообразными функции f на промежутке (-?; +?). График функции F_1 проходит через точку А. а функции F_2 — через точку В. График какой из функций, F_1 или F_2, расположен выше, если:
1) f(x)=5x^4-3x^2-2, A(1; 2), B(0; 5);
2) f(x)=(2x-1)^2, A(2; 6), B(-1; 1)?
Похожие решебники
Популярные решебники 11 класс Все решебники
*размещая тексты в комментариях ниже, вы автоматически соглашаетесь с пользовательским соглашением