🔥ГДЗ под запретом?

Упр.1.7 ГДЗ Виленкин Жохов 6 класс Часть 1, Просвещение (Математика)

Решение #1 (Учебник 2023)

Изображение Найдите частное:а) 1 : 4;    в) 1 : 0,001;   д) 5 : 0.02;б) 3 : 25;   г) 2 : 0,25;    е) 4 :...

Решение #2 (Учебник 2023)

Изображение Найдите частное:а) 1 : 4;    в) 1 : 0,001;   д) 5 : 0.02;б) 3 : 25;   г) 2 : 0,25;    е) 4 :...

Решение #3 (Учебник 2021)

Изображение Найдите частное:а) 1 : 4;    в) 1 : 0,001;   д) 5 : 0.02;б) 3 : 25;   г) 2 : 0,25;    е) 4 :...

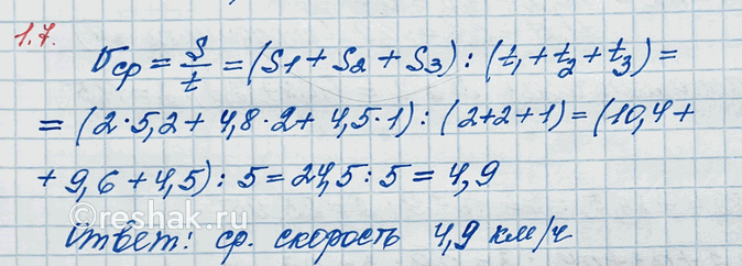
Рассмотрим вариант решения задания из учебника Виленкин, Жохов, Чесноков 6 класс, Просвещение:
Пешеход шёл 2 ч со скоростью 5,2 км/ч, 2 ч со скоростью 4,8 км/ч и 1 ч со скоростью 4,5 км/ч. Чему равна средняя скорость пешехода на всём пути?

Найдите частное:
а) 1 : 4; в) 1 : 0,001; д) 5 : 0.02;
б) 3 : 25; г) 2 : 0,25; е) 4 : 1,25.

*Цитирирование задания со ссылкой на учебник производится исключительно в учебных целях для лучшего понимания разбора решения задания.
*К сожалению, временные проблемы с публикацией комментариев с мобильных устройств.