Упр.1.63 ГДЗ Дорофеев Суворова 9 класс (Алгебра)
Решение #1

Рассмотрим вариант решения задания из учебника Дорофеев, Суворова, Бунимович 9 класс, Просвещение:
Решите неравенство:
а) (2-x)/6 + (x+7)/15 < (8-x)/2;
б) (2z+1)/18 - (z+2)/9 > (z-6)/6;
в) 19/4 - (5y+16)/3 ? (3y+1)/4 - 2y;
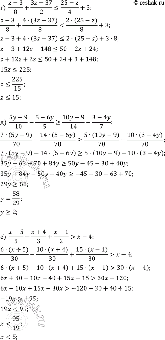
г) (z-3)/8 + (3z-37)/2 ? (25-z)/4 + 3;
д) (5y-9)/10 - (5-6y)/5 ? (10y-9)/14 - (3-4y)/7;
е) (x+5)/5 - (x+4)/3 + (x-1)/2 > x - 4;
ж) (y-4)/2 - (y-3)/3 ? 2(y-2)/3 - (y+1)/2;
з) 3z + (3-2z)/2 ? z - (1-5z)/5.
Популярные решебники 9 класс Все решебники
*размещая тексты в комментариях ниже, вы автоматически соглашаетесь с пользовательским соглашением