Упр.1.38 ГДЗ Мерзляк 11 класс Базовый уровень (Алгебра)
Решение #1

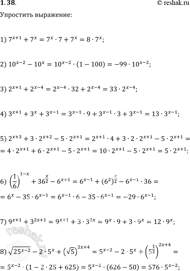
Рассмотрим вариант решения задания из учебника Мерзляк, Номировский, Полонский 11 класс, Просвещение:
1.38. Упростите выражение:
1) 7^(x+1)+7^x; 5) 2^(x+3)+3·2^(x+2)-5·2^(x+1);
2) 10^(x-2)-10^x; 6) (1/6)^(1-x)+36^(x/2)-6^(x+1);
3) 2^(x+1)+2^(x-4); 7) 9^(x+1)+3^(2x+1);
4) 3^(x+1)+3^x+3^(x-1); 8) v(25^(x-2))-2·5^x+(v5)^(2x+4).
Похожие решебники
Популярные решебники 11 класс Все решебники
*размещая тексты в комментариях ниже, вы автоматически соглашаетесь с пользовательским соглашением