Упр.1.35 ГДЗ Дорофеев Суворова 7 класс (Алгебра)
Решение #1

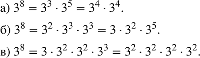
Рассмотрим вариант решения задания из учебника Дорофеев, Суворова, Бунимович 7 класс, Просвещение:
Представьте разными способами З8 в виде произведения:
а) двух степеней с основанием 3;
б) трёх степеней с основанием 3;
в) четырёх степеней с основанием 3.
Популярные решебники 7 класс Все решебники
*размещая тексты в комментариях ниже, вы автоматически соглашаетесь с пользовательским соглашением