Упр.1.26 ГДЗ Дорофеев Суворова 7 класс (Алгебра)
Решение #1

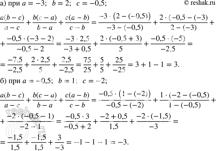
Рассмотрим вариант решения задания из учебника Дорофеев, Суворова, Бунимович 7 класс, Просвещение:
Найдите значение выражения (a(b-c))/a-c) + (b(c-a))/(b-a) + (c(a-b))/(c-b) при:
а) а — -3, b = 2, с = -0,5;
б) а = -0,5, b = 1, с = -2.
Популярные решебники 7 класс Все решебники
*К сожалению, временные проблемы с публикацией комментариев с мобильных устройств.