Упр.1.127 ГДЗ Дорофеев Суворова 9 класс (Алгебра)
Решение #1

Рассмотрим вариант решения задания из учебника Дорофеев, Суворова, Бунимович 9 класс, Просвещение:
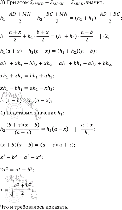
Покажите, что в трапеции ABCD отрезок, параллельный основаниям и делящий трапецию на две трапеции равной площади, равен среднему квадратичному оснований.
Популярные решебники 9 класс Все решебники
*К сожалению, временные проблемы с публикацией комментариев с мобильных устройств.