Упр.9.31 ГДЗ Мордковича 11 класс профильный уровень (Алгебра)
Решение #1
Решение #2(записки учителя)
Решение #3(записки школьника)

Рассмотрим вариант решения задания из учебника Мордкович, Семенов 11 класс, Мнемозина:
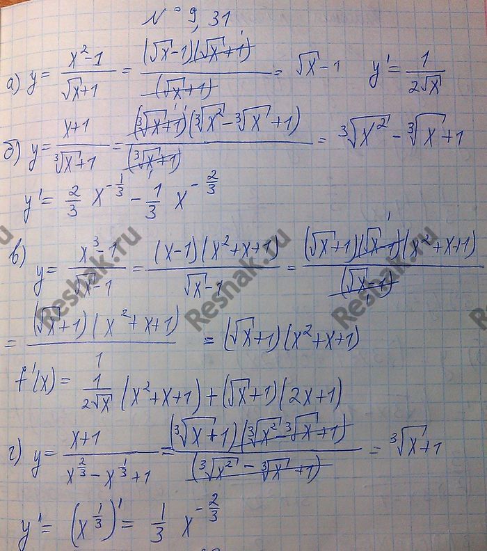
9.31. а) У = (х2 - 1)/ (корень x + 1); в)( х3 - 1 )/(корень x -1);
б) У = (X + 1)/(корень 3 степени x + 1); Г) У = (x+1)/(x2/3 - x1/3 + 1).
Похожие решебники
Популярные решебники 11 класс Все решебники
*К сожалению, временные проблемы с публикацией комментариев с мобильных устройств.