Упр.8.18 ГДЗ Мордковича 11 класс профильный уровень (Алгебра)
Решение #1
Решение #2(записки учителя)
Решение #3(записки школьника)

Рассмотрим вариант решения задания из учебника Мордкович, Семенов 11 класс, Мнемозина:
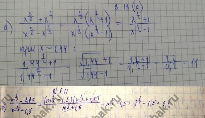
8.18 Найдите значение выражения:
а)(x5/6 + x1/3)/(x5/6 - x1/3),при x=1,44;
б)(m2/3-2,25)/(m1/3+1,5),при m=8
Похожие решебники
Популярные решебники 11 класс Все решебники
*размещая тексты в комментариях ниже, вы автоматически соглашаетесь с пользовательским соглашением