Упр.7.25 ГДЗ Мордковича 11 класс профильный уровень (Алгебра)
Решение #1
Решение #2(записки учителя)
Решение #3(записки школьника)

Рассмотрим вариант решения задания из учебника Мордкович, Семенов 11 класс, Мнемозина:
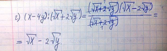
7.25. а) (а - b) : (корень а - корень b); в) (m - n) : (корень 3 степени m - корень 3 степени n);
б) (k + l) : ( корень 3 степени k +корень 3 степени l ); г) (х - 4у) : (корень х + 2 корень у).
Похожие решебники
Популярные решебники 11 класс Все решебники
*размещая тексты в комментариях ниже, вы автоматически соглашаетесь с пользовательским соглашением