Упр.5.32 ГДЗ Мордковича 11 класс профильный уровень (Алгебра)
Решение #1
Решение #2(записки учителя)
Решение #3(записки школьника)

Рассмотрим вариант решения задания из учебника Мордкович, Семенов 11 класс, Мнемозина:
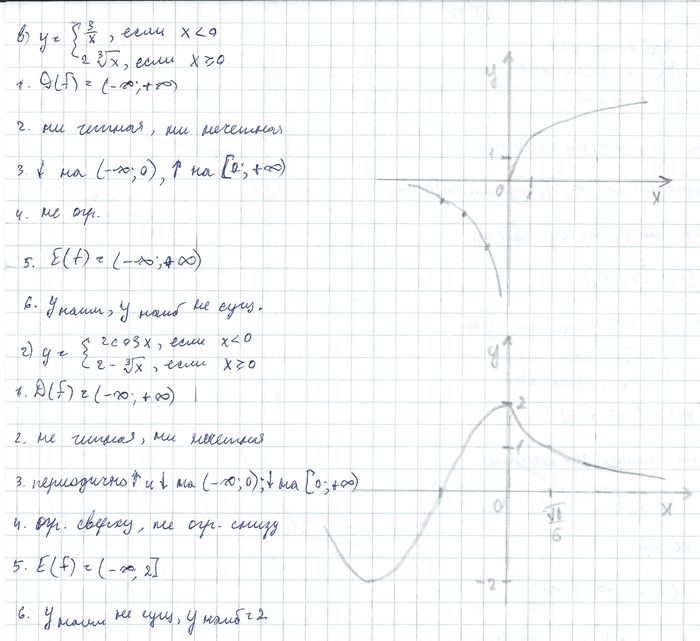
5.32 Постройте и прочитайте график функции:
а) у= система
2x2, если x < 1,
(корень 4 степени x)+1, если x больше или равно 1;
б) y= система
корень 5 степени x+1,если x < 0,
2x2+1,если x больше или равно 0;
в) y= система
3/x, если x < 0,
2 корень 3 степени x ,если x больше или равно 0;
г) y= cистема
2cosx, если x < 0,
2- корень 3 степени x, если x больше или равно 0.
Похожие решебники
Популярные решебники 11 класс Все решебники
*размещая тексты в комментариях ниже, вы автоматически соглашаетесь с пользовательским соглашением