Упр.4.12 ГДЗ Мордковича 11 класс профильный уровень (Алгебра)
Решение #1
Решение #2(записки школьника)

Рассмотрим вариант решения задания из учебника Мордкович, Семенов 11 класс, Мнемозина:
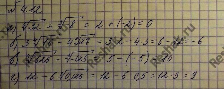
4.12
а) корень 5 степени из 32 + корень 3 степени из (-8);
б) 3 корень 4 степени из 16 - 4 корень 3 степени из 27;
в) корень 4 степени из 625 - корень 3 степени из (-125);
г) 12- 6 корень 3 степени из 0,125.
Похожие решебники
Популярные решебники 11 класс Все решебники
*размещая тексты в комментариях ниже, вы автоматически соглашаетесь с пользовательским соглашением