Упр.30.2 ГДЗ Мордковича 11 класс профильный уровень (Алгебра)
Решение #1
Решение #2(записки учителя)
Решение #3(записки школьника)

Рассмотрим вариант решения задания из учебника Мордкович, Семенов 11 класс, Мнемозина:
Решите уравнение:
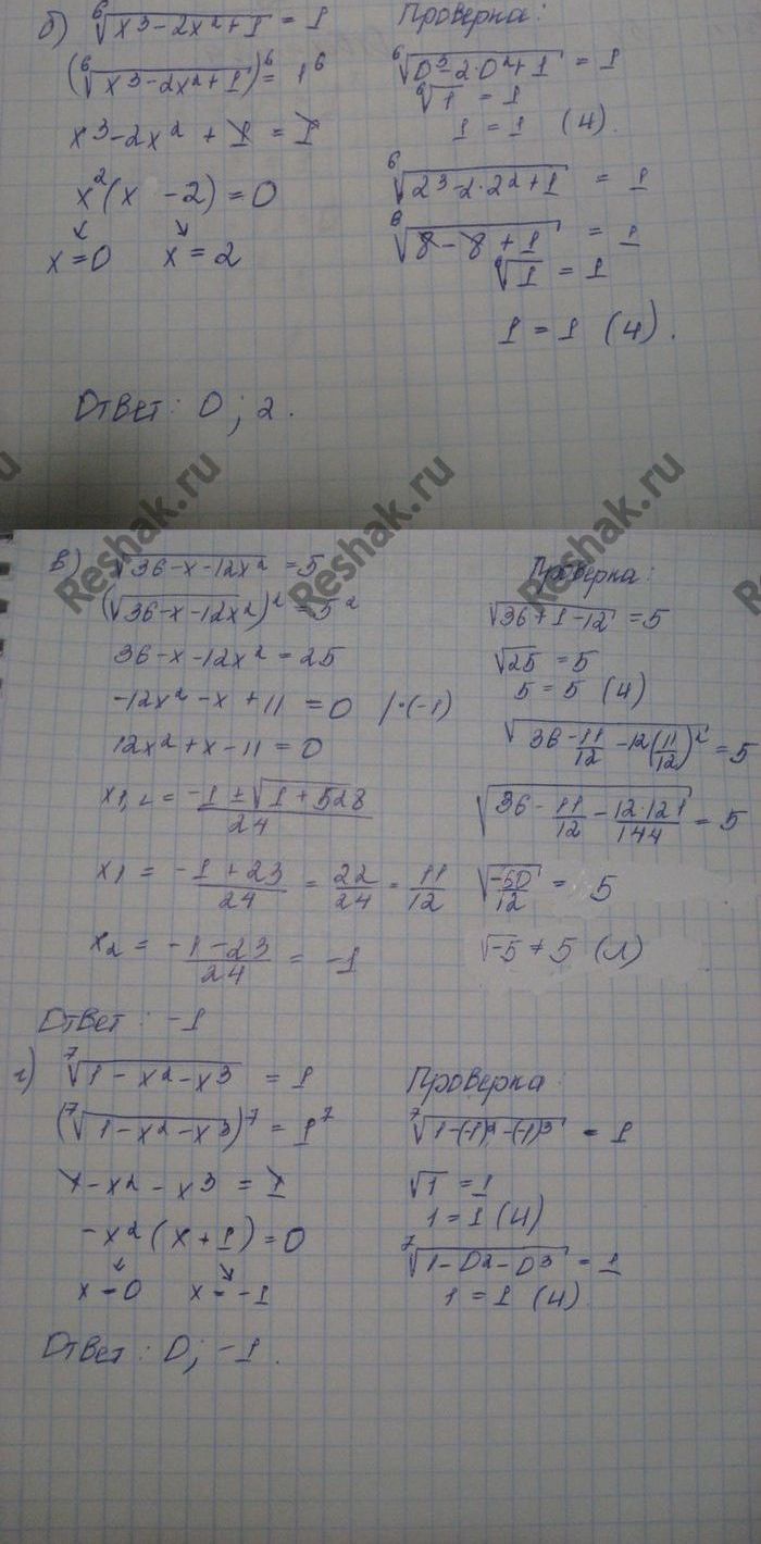
30.2 а)корень x2-4x-3=3; в)корень 36-x-12x2=5;
б)корень 6 степени x3-2x2+1=1; г)корень 7 степени 1-x2-x3=1.
Похожие решебники
Популярные решебники 11 класс Все решебники
*размещая тексты в комментариях ниже, вы автоматически соглашаетесь с пользовательским соглашением