Упр.29.48 ГДЗ Мордковича 11 класс профильный уровень (Алгебра)
Решение #1
Решение #2(записки учителя)
Решение #3(записки школьника)

Рассмотрим вариант решения задания из учебника Мордкович, Семенов 11 класс, Мнемозина:
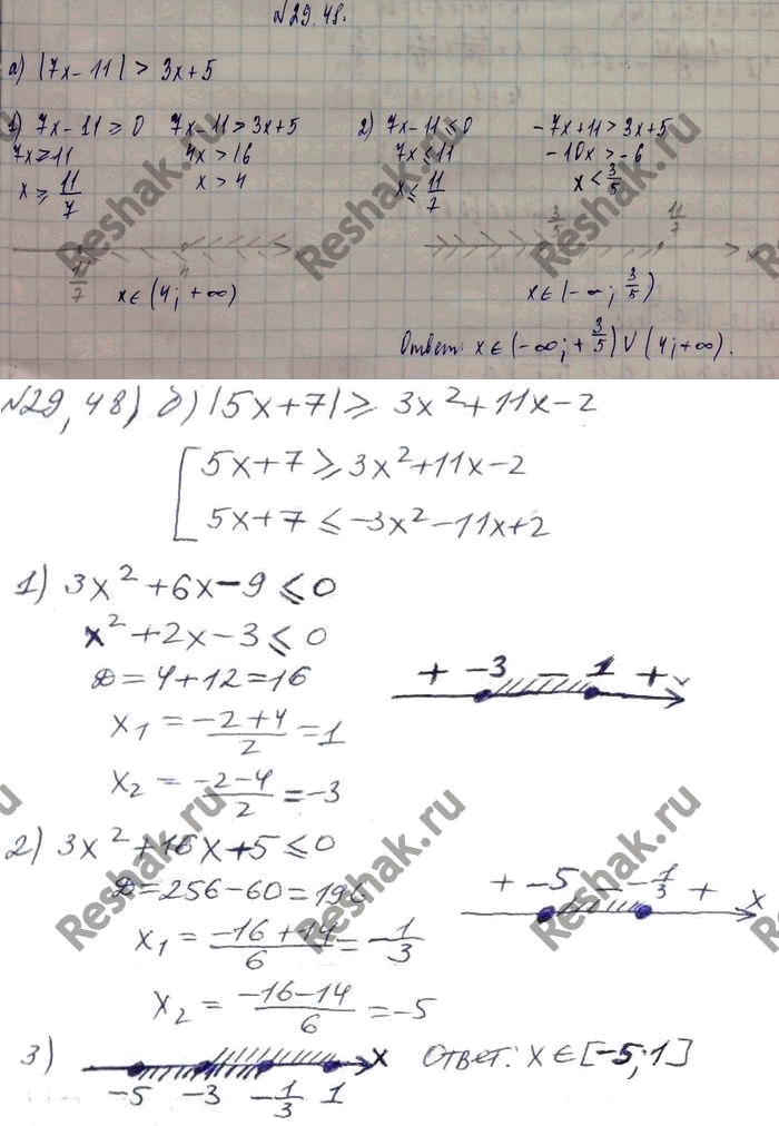
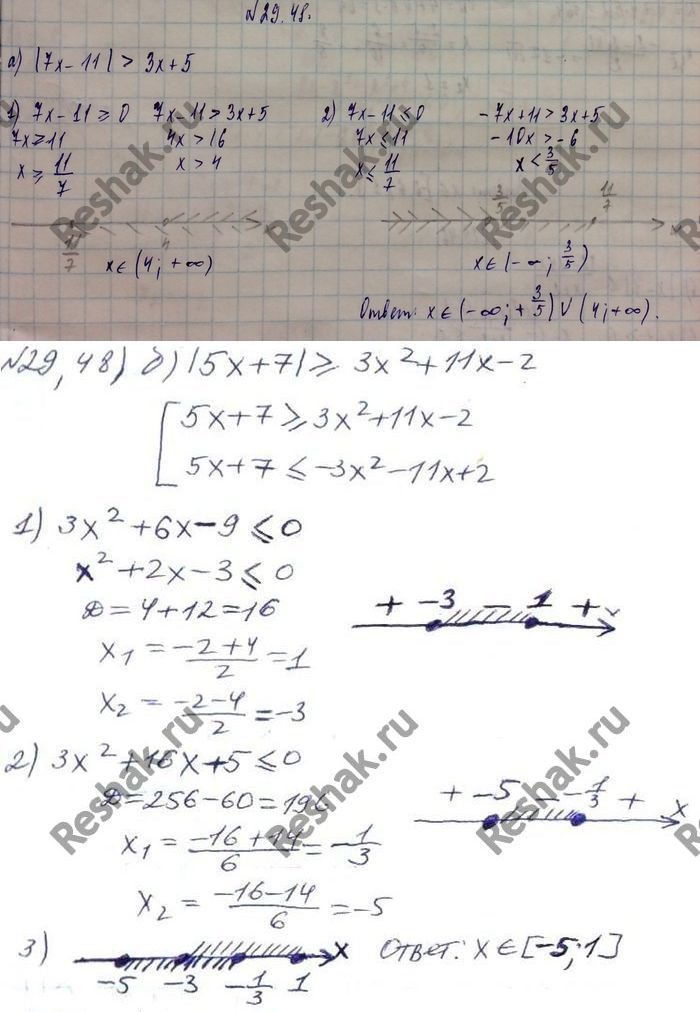
29.48 а)|7x-11| > 3x+5;
б)|5x+7| больше или равно 3x2+11x-2;
в)|4-x| > -3x-2;
г)|5-4x| больше или равно 5-7x-3x2.
Похожие решебники
Популярные решебники 11 класс Все решебники
*размещая тексты в комментариях ниже, вы автоматически соглашаетесь с пользовательским соглашением