Упр.29.24 ГДЗ Мордковича 11 класс профильный уровень (Алгебра)
Решение #1
Решение #2(записки учителя)
Решение #3(записки школьника)

Рассмотрим вариант решения задания из учебника Мордкович, Семенов 11 класс, Мнемозина:
29.24. Решите уравнение:
а)|x2+4x|+|-x2+9| = |4x+9|;
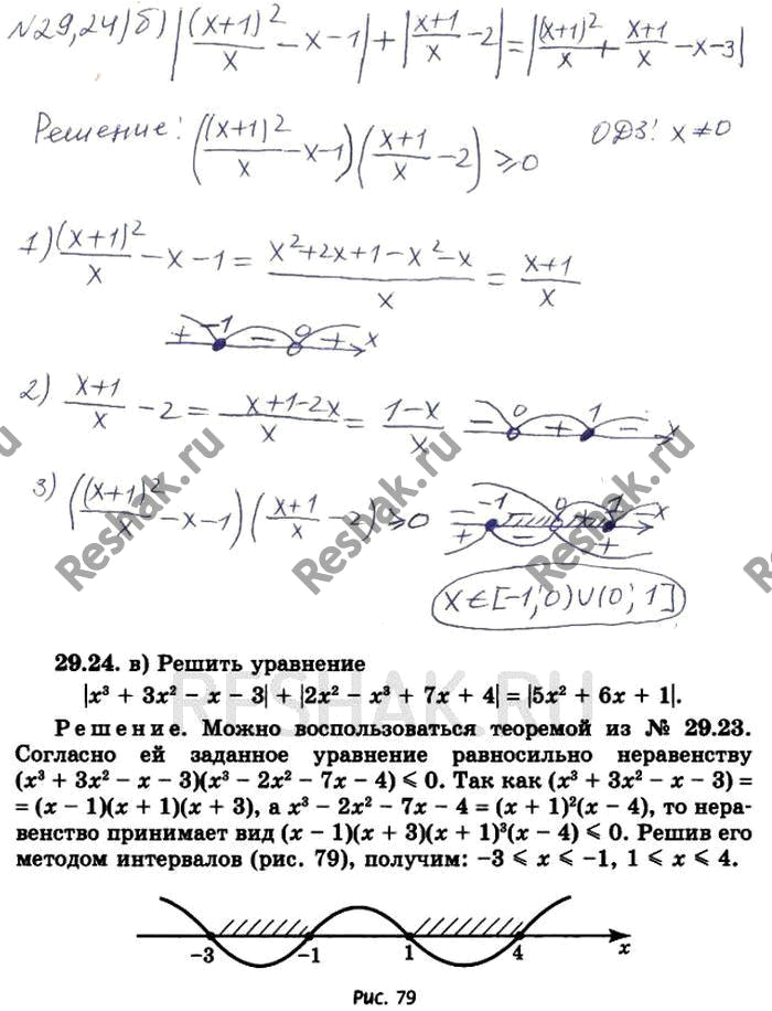
б)|(x+1)2/x - x-1|+|(x+1)/x -2| = |(x+1)2/x + (x+1)/x - x-3|;
в)|x3+3x2-x-3|+|2x2-x3+7x+4| = |5x2+6x+1|;
г)|(x+2)/(x+1) + 4| + |(3-x)/(x+1) - 3x -3| = |1-3x+5/(x+1)
|
Похожие решебники
Популярные решебники 11 класс Все решебники
*размещая тексты в комментариях ниже, вы автоматически соглашаетесь с пользовательским соглашением