Упр.28.40 ГДЗ Мордковича 11 класс профильный уровень (Алгебра)
Решение #1
Решение #2(записки учителя)
Решение #3(записки школьника)

Рассмотрим вариант решения задания из учебника Мордкович, Семенов 11 класс, Мнемозина:
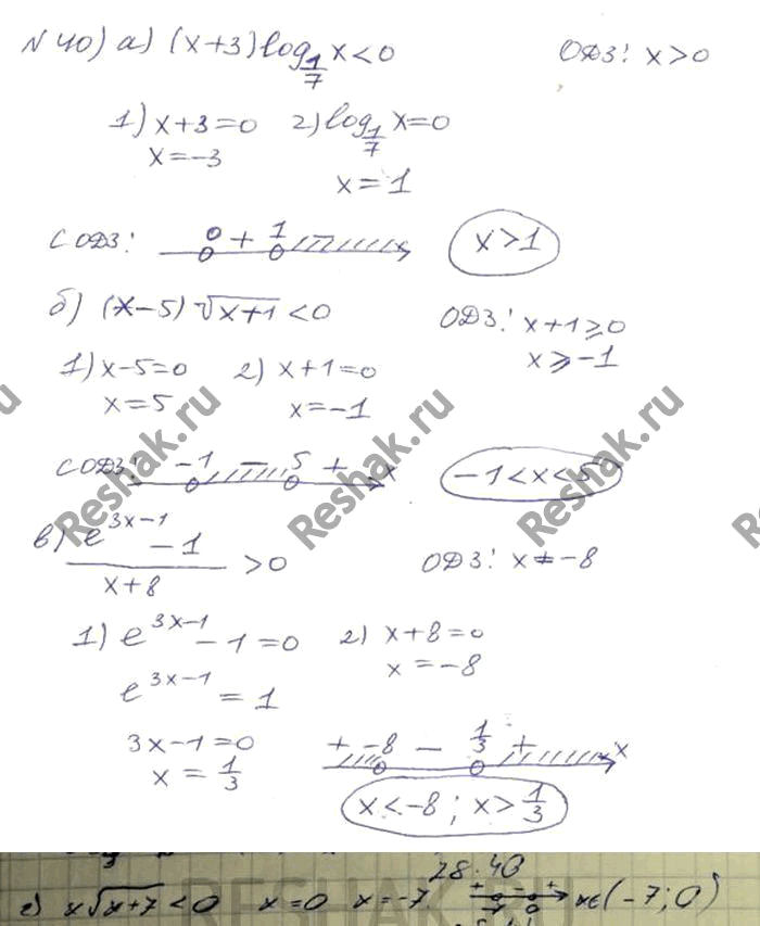
28.40 а)(x+3)log1/7(x) < 0; в)(e(3x-1) - 1)/(x+8) > 0;
б)(x-5) корень x+1 < 0; г) x корень x+7 < 0.
Похожие решебники
Популярные решебники 11 класс Все решебники
*размещая тексты в комментариях ниже, вы автоматически соглашаетесь с пользовательским соглашением