Упр.28.33 ГДЗ Мордковича 11 класс профильный уровень (Алгебра)
Решение #1
Решение #2(записки учителя)
Решение #3(записки школьника)

Рассмотрим вариант решения задания из учебника Мордкович, Семенов 11 класс, Мнемозина:
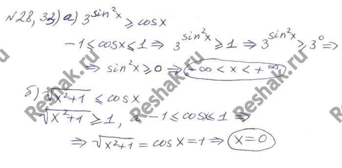
28.33 а)3sin2(x) больше или равно cosx; в)2sin2(x) меньше или равно cosx;
б)корень x2+1 меньше или равно cosx; г)корень x2+1 больше или равно sinx.
Похожие решебники
Популярные решебники 11 класс Все решебники
*размещая тексты в комментариях ниже, вы автоматически соглашаетесь с пользовательским соглашением