Упр.28.15 ГДЗ Мордковича 11 класс профильный уровень (Алгебра)
Решение #1
Решение #2(записки учителя)

Рассмотрим вариант решения задания из учебника Мордкович, Семенов 11 класс, Мнемозина:
28.12 а)[
(2x-3)/(x+3) > 0,
(5x+1)/(4x-2) < 0;
б)[
2/(x+3) < 5/x,
3/(x-2) < 2/x;
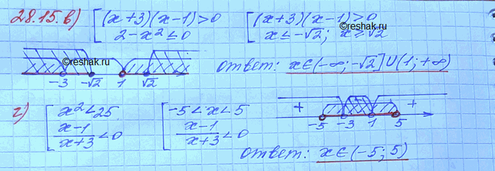
в)[
(x+3)(x-1) > 0,
2-x2 менше или равно 0;
г)[
x2 < 25,
(x-1)/(x+3) < 0.
Похожие решебники
Популярные решебники 11 класс Все решебники
*размещая тексты в комментариях ниже, вы автоматически соглашаетесь с пользовательским соглашением