Упр.22.3 ГДЗ Мордковича 11 класс профильный уровень (Алгебра)
Решение #1
Решение #2(записки учителя)
Решение #3(записки школьника)
Решение #4(записки школьника)

Рассмотрим вариант решения задания из учебника Мордкович, Семенов 11 класс, Мнемозина:
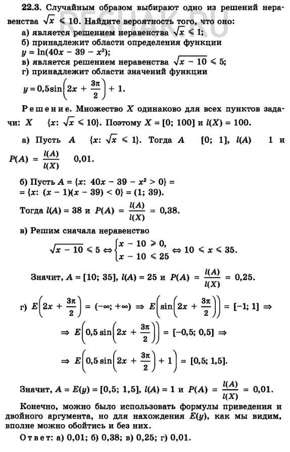
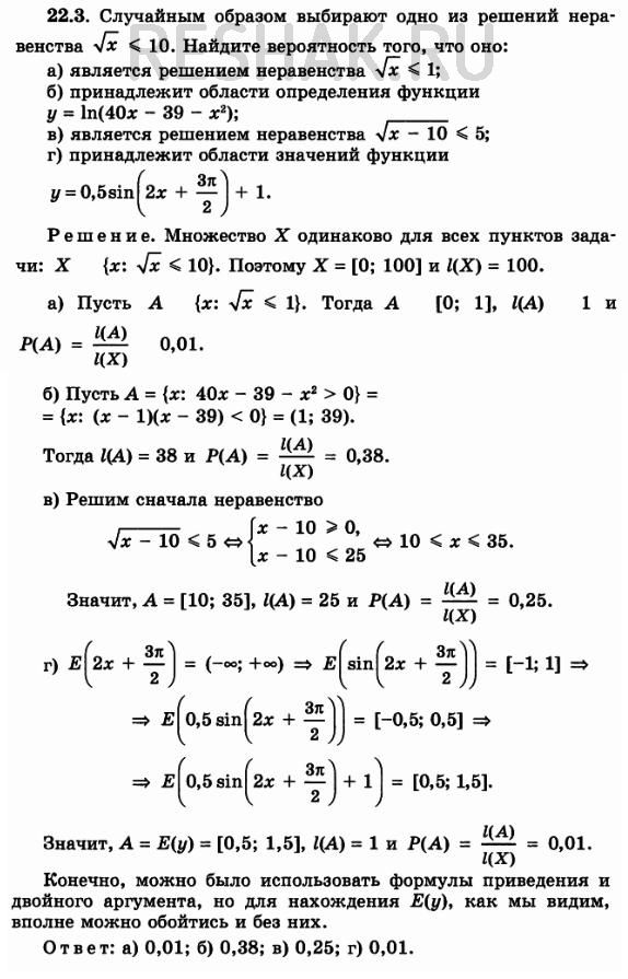
22.3. Случайным образом выбирают одно из решений неравенства корень х меньше или равно 10. Найдите вероятность того, что оно:
а) является решением неравенства корень х меньше или равно 1;
б) принадлежит области определения функции у = ln (40x - 39 - x2);
в) является решением неравенства корень (x - 10) меньше или равно 5;
г) принадлежит области значений функции
у = 0,5 sin( 2x + 3Пи/2)+1.
Похожие решебники
Популярные решебники 11 класс Все решебники
*размещая тексты в комментариях ниже, вы автоматически соглашаетесь с пользовательским соглашением