Упр.21.53 ГДЗ Мордковича 11 класс профильный уровень (Алгебра)
Решение #1
Решение #2(записки учителя)
Решение #3(записки школьника)

Рассмотрим вариант решения задания из учебника Мордкович, Семенов 11 класс, Мнемозина:
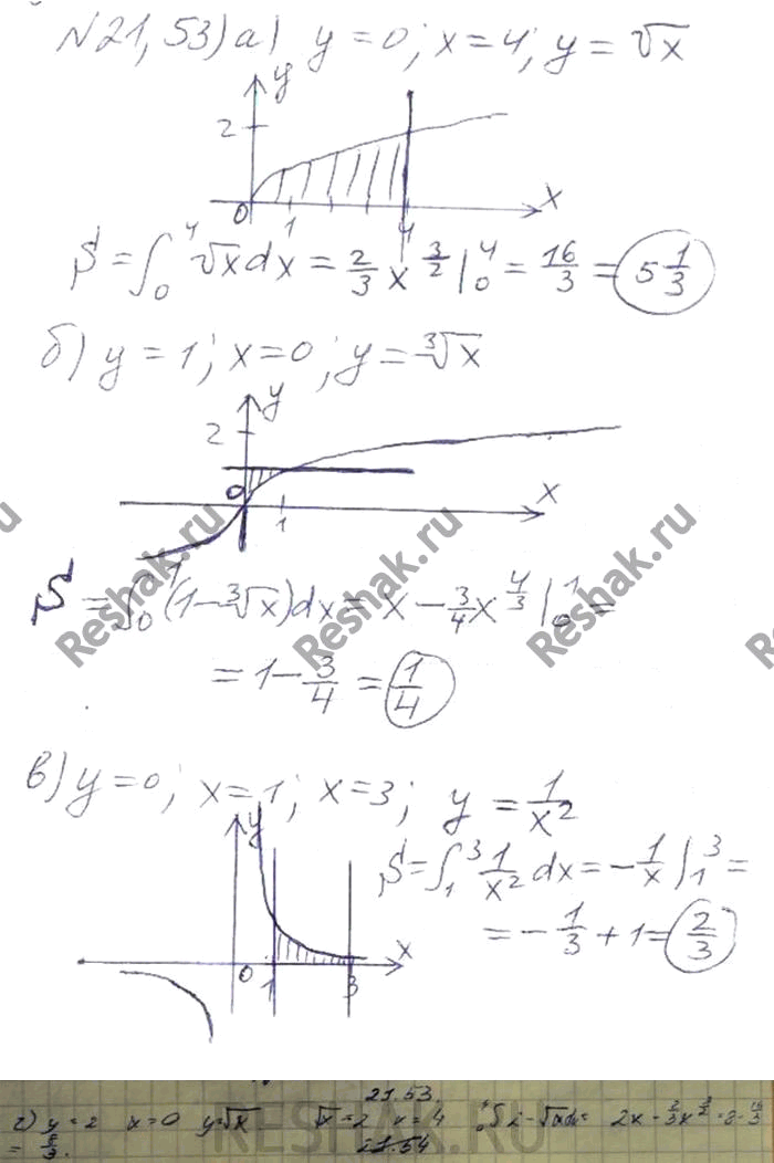
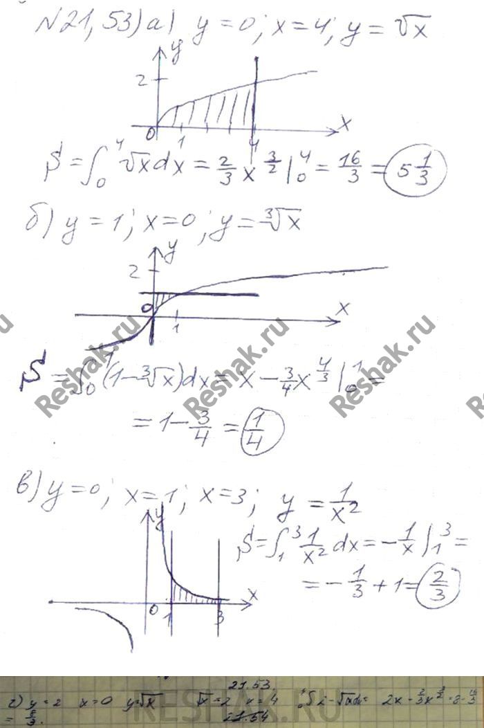
21.53 а)y=0,x=4,y=корень x;
б)y=1,x=0,y=корень 3 степени x;
в)y=0,x=1,x=3,y=1/x2;
г)y=2,x=0,y=корень x.
Похожие решебники
Популярные решебники 11 класс Все решебники
*размещая тексты в комментариях ниже, вы автоматически соглашаетесь с пользовательским соглашением