Упр.19.13 ГДЗ Мордковича 11 класс профильный уровень (Алгебра)
Решение #1
Решение #2(записки учителя)
Решение #3(записки школьника)

Рассмотрим вариант решения задания из учебника Мордкович, Семенов 11 класс, Мнемозина:
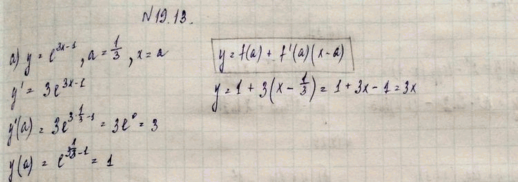
19.13. Напишите уравнение касательной к графику функции у= f(x) в точке с абсциссой х = а:
а) у = е(3x-1), а = 1/3; в) у = 2/ex, а = 0;
б) у = xe(-2x + 1), а = 0,5;г) у = ex/(x+1), а = 0.
Похожие решебники
Популярные решебники 11 класс Все решебники
*размещая тексты в комментариях ниже, вы автоматически соглашаетесь с пользовательским соглашением