Упр.18.7 ГДЗ Мордковича 11 класс профильный уровень (Алгебра)
Решение #1
Решение #2(записки учителя)
Решение #3(записки школьника)

Рассмотрим вариант решения задания из учебника Мордкович, Семенов 11 класс, Мнемозина:
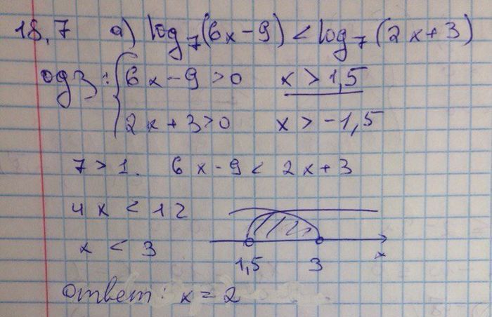
18.7. Найдите наибольшее целое решение неравенства:
а) log7(6x - 9) < log7 (2х + 3);
б) log1/5(2 - x) больше или равно log1/5(2x + 4);
в) lg (8х - 16) < lg (3х + 1);
г) log 0,4 (7 - x) больше или равно log 0,4 (3x + 6).
Похожие решебники
Популярные решебники 11 класс Все решебники
*размещая тексты в комментариях ниже, вы автоматически соглашаетесь с пользовательским соглашением