Упр.18.26 ГДЗ Мордковича 11 класс профильный уровень (Алгебра)
Решение #1
Решение #2(записки учителя)
Решение #3(записки школьника)

Рассмотрим вариант решения задания из учебника Мордкович, Семенов 11 класс, Мнемозина:
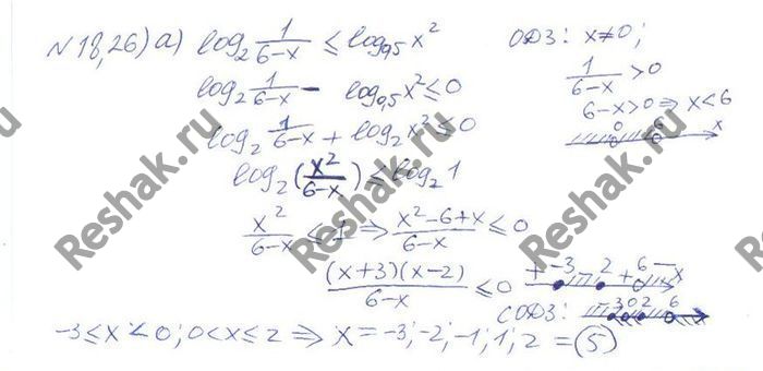
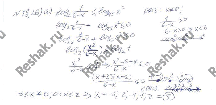
18.26 Сколько целочисленных решений имеет неравенство:
а) log2 (1/(6-x)) < log0,5(х2);
б) 0,25 log корень 4 степени 3(x + 6) меньше или равно log3(6 - х2);
в) 0,5 log корень 2(х2 - 6х + 24) меньше или равно log8(2x + 9)3;
г) log3(-x2+10x/9)^-1 + log1/3(9) больше или равно 0?
Похожие решебники
Популярные решебники 11 класс Все решебники
*размещая тексты в комментариях ниже, вы автоматически соглашаетесь с пользовательским соглашением