Упр.18.15 ГДЗ Мордковича 11 класс профильный уровень (Алгебра)
Решение #1
Решение #2(записки учителя)
Решение #3(записки школьника)

Рассмотрим вариант решения задания из учебника Мордкович, Семенов 11 класс, Мнемозина:
18.15. a) lg (x + 3) + lg (2x - 8) < 2lgx;
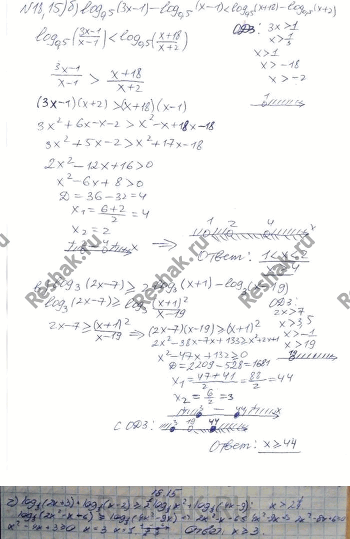
б) log0,5(3x - 1) - log0,5(x - 1) < log0,5(x + 18) - log0,5(x + 2);
в) log3 (2x - 7) больше или равно 2 log3 (x + 1) - log3 (x - 19);
г) log1/3 (2x + 3) + log1/3 (x - 2) больше или равно 1/2log1/3(x2) + log1/3(4x - 9).
Похожие решебники
Популярные решебники 11 класс Все решебники
*размещая тексты в комментариях ниже, вы автоматически соглашаетесь с пользовательским соглашением