Упр.15.23 ГДЗ Мордковича 11 класс профильный уровень (Алгебра)
Решение #1
Решение #2(записки учителя)
Решение #3(записки школьника)

Рассмотрим вариант решения задания из учебника Мордкович, Семенов 11 класс, Мнемозина:
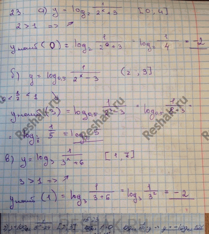
15.23 Найдите наибольшее значение функции на заданном промежутке:
а) у = log2(1/(2x+3)), [0; 4];
б) У = log0,5(1/(2x-3)), (2; 3];
в) у = log3(1/(3x+6)); [1; 7];
г) У = log0,2(1/(5x-24)),[2; 3].
Похожие решебники
Популярные решебники 11 класс Все решебники
*размещая тексты в комментариях ниже, вы автоматически соглашаетесь с пользовательским соглашением