Упр.15.15 ГДЗ Мордковича 11 класс профильный уровень (Алгебра)
Решение #1
Решение #2(записки учителя)
Решение #3(записки школьника)

Рассмотрим вариант решения задания из учебника Мордкович, Семенов 11 класс, Мнемозина:
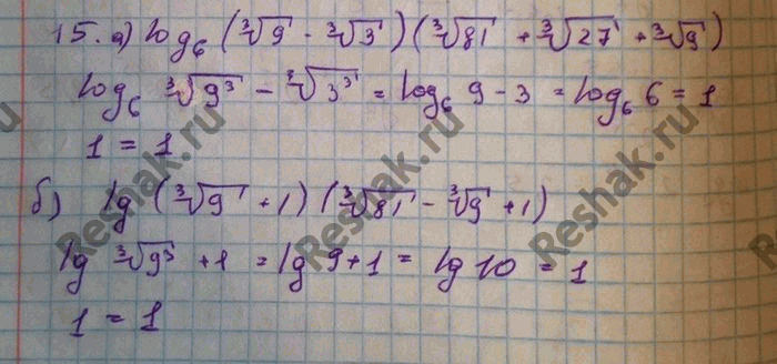
15.15. a) log6 ( корень 3 степени 9 - корень 3 степени 3)(корень 3 степени 81 + корень 3 степени 27 + корень 3 степени 9);
б) lg (корень 3 степени 9 + 1)(корень 3 степени 81 - корень 3 степени 9 + 1).
Похожие решебники
Популярные решебники 11 класс Все решебники
*размещая тексты в комментариях ниже, вы автоматически соглашаетесь с пользовательским соглашением