Упр.13.42 ГДЗ Мордковича 11 класс профильный уровень (Алгебра)
Решение #1
Решение #2(записки учителя)
Решение #3(записки школьника)

Рассмотрим вариант решения задания из учебника Мордкович, Семенов 11 класс, Мнемозина:
13.42 Решите неравенство:
а)(x2+4x+4)(3x-27) больше или равно 0;
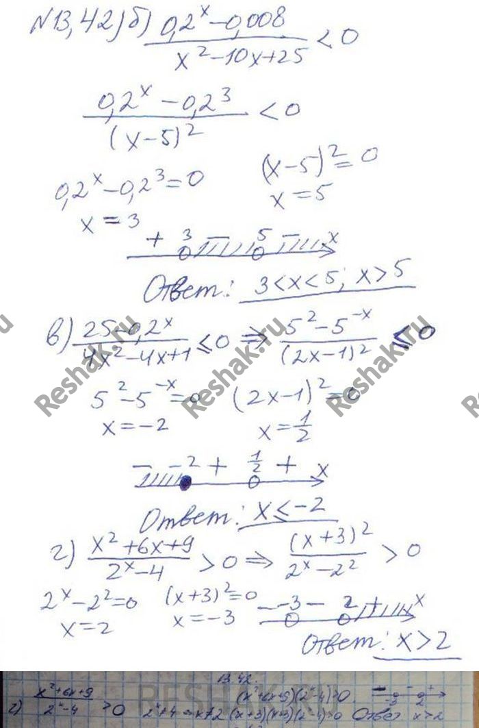
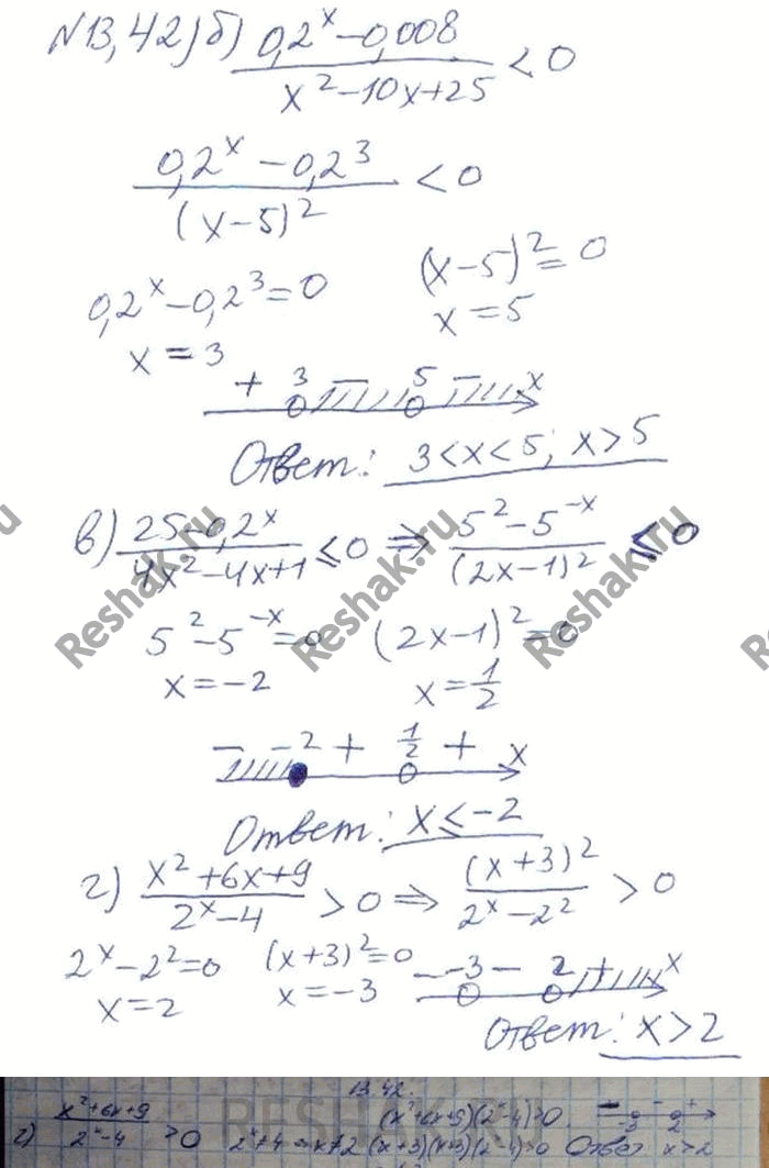
б)(0,2x-0,008)/(x2-10x+25) < 0;
в)(25-0,2x)/(4x2-4x+1) меньше или равно 0;
г)(x2+6x+9)/(2x-4) > 0
Похожие решебники
Популярные решебники 11 класс Все решебники
*размещая тексты в комментариях ниже, вы автоматически соглашаетесь с пользовательским соглашением