Упр.12.32 ГДЗ Мордковича 11 класс профильный уровень (Алгебра)
Решение #1
Решение #2(записки учителя)
Решение #3(записки школьника)

Рассмотрим вариант решения задания из учебника Мордкович, Семенов 11 класс, Мнемозина:
12.32 а)1/(3x+2)=1/3(x+1);
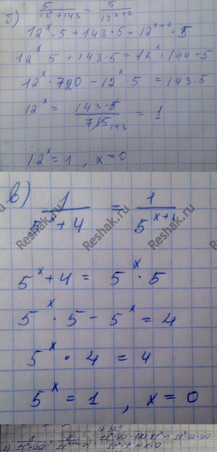
б)5/(12x+143)=5/12(x+2);
в)1/(5x+4)=1/5(x+1);
г)8/(11x+120)=8/11(x+2).
Похожие решебники
Популярные решебники 11 класс Все решебники
*размещая тексты в комментариях ниже, вы автоматически соглашаетесь с пользовательским соглашением