Упр.12.24 ГДЗ Мордковича 11 класс профильный уровень (Алгебра)
Решение #1
Решение #2(записки учителя)
Решение #3(записки школьника)

Рассмотрим вариант решения задания из учебника Мордкович, Семенов 11 класс, Мнемозина:
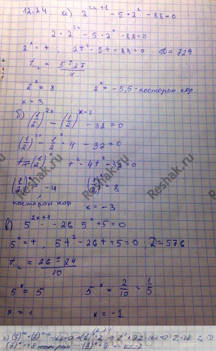
12.24 а)2(2x+1)-5*2x-88=0;
б)(1/2)2x-(1/2)(x-2)-32=0;
в)5(2x+1)-26*5x+5-0;
г)(1/3)2x+(1/3)(x-2)-162=0.
Похожие решебники
Популярные решебники 11 класс Все решебники
*размещая тексты в комментариях ниже, вы автоматически соглашаетесь с пользовательским соглашением