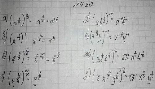
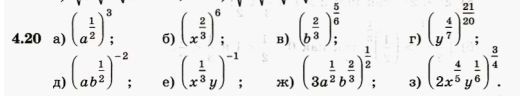
Упр.4.20 ГДЗ Никольский 10 класс (Алгебра)
Решение #1(записки учителя)
Решение #2(записки школьника)

Совет дня!
Поиск по сайту решак.ру может помочь найти другой похожий топик из других учебных изданий. Таким образом, можете скомпоновать их разные части и получить уникальный ответ на задание.Похожие решебники
Популярные решебники 10 класс Все решебники
*К сожалению, временные проблемы с публикацией комментариев с мобильных устройств.