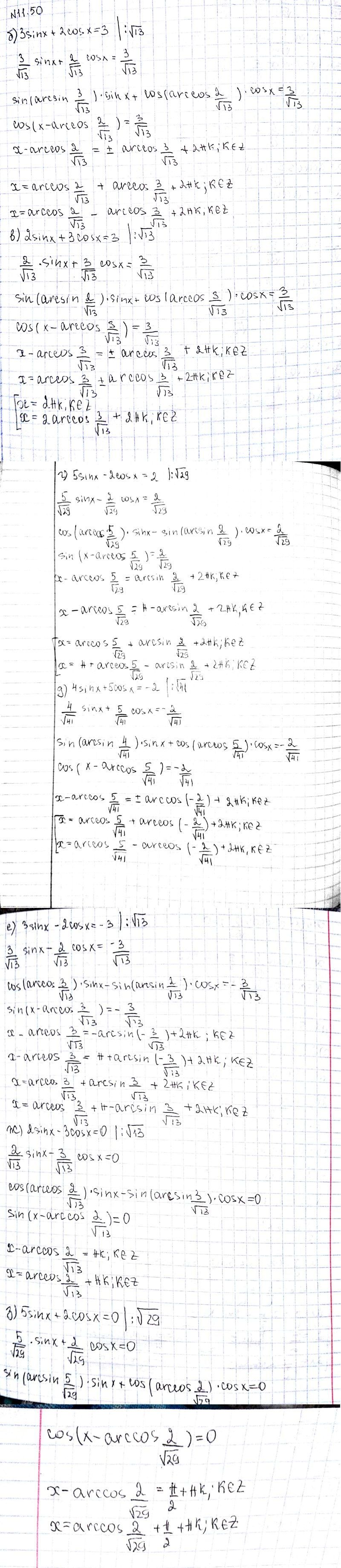
Упр.11.50 ГДЗ Никольский 10 класс (Алгебра)
Решение #1(записки учителя)
Решение #2(записки школьника)

Совет дня!
Чтобы не спалиться на списывании, сайт решак.ру рекомендует максимально изменять тексты сочинений "под себя", изменять имена собственные, города, подбирать синонимы.Похожие решебники
Популярные решебники 10 класс Все решебники
*К сожалению, временные проблемы с публикацией комментариев с мобильных устройств.