Упр.25.14 ГДЗ Мордкович 10-11 класс (Алгебра)
Решение #1
Решение #2

Рассмотрим вариант решения задания из учебника Мордкович, Семенов 10 класс, Мнемозина:
25.14 Решите уравнение, если известно, что |x| < 1.
а) x + x^2 + x^3 + x^4 + ... + x^n + ... = 4;
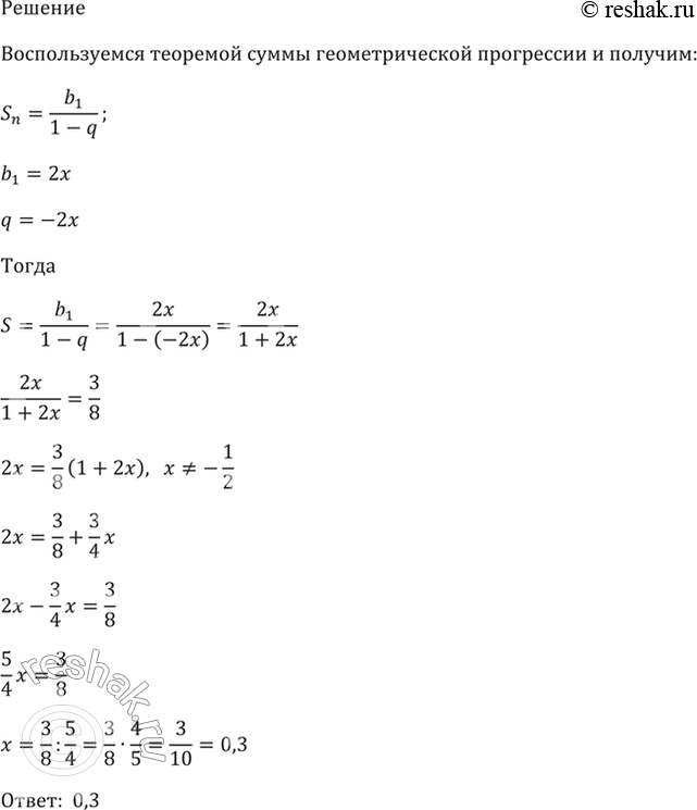
б) 2x - 4x^2 + 8x^3 - 16x^4 + ... = 3/8.
Похожие решебники
Популярные решебники 10 класс Все решебники
*размещая тексты в комментариях ниже, вы автоматически соглашаетесь с пользовательским соглашением