🔥ГДЗ под запретом?

Упр.3 Повторение ГДЗ Мордковича 10 класс профильный уровень (Алгебра)

Решение #1

Изображение Упр.3 Повторение ГДЗ Мордковича 10 класс профильный уровень
Дополнительное изображение

Решение #2

Изображение Упр.3 Повторение ГДЗ Мордковича 10 класс профильный уровень

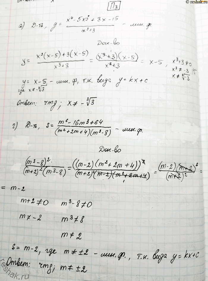
Решение #3

Изображение Упр.3 Повторение ГДЗ Мордковича 10 класс профильный уровень

Совет дня!
Сайт решак.ру отлично работает на мобильных телефонах, им можно успешно пользоваться во время урока. Телефон хорошо прячется за учебником или рукавом. Или можно сказать, что забыли учебник дома, а на телефоне у вас электронный.
*Цитирирование задания со ссылкой на учебник производится исключительно в учебных целях для лучшего понимания разбора решения задания.
*К сожалению, временные проблемы с публикацией комментариев с мобильных устройств.