Упр.8.32 ГДЗ Мордковича 10 класс профильный уровень (Алгебра)
Решение #1
Решение #2(записки учителя)
Решение #3(записки школьника)

Рассмотрим вариант решения задания из учебника Мордкович, Семенов 10 класс, Мнемозина:
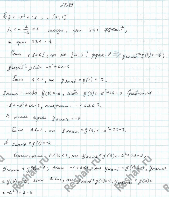
Найдите наибольшее и наименьшее значение функции для каждого значения параметра а:
а) у = x2 - 4x на отрезке [-1; o];
б) у = -X2 + 2x - 3 на отрезке [а; 3].
Похожие решебники
Популярные решебники 10 класс Все решебники
*размещая тексты в комментариях ниже, вы автоматически соглашаетесь с пользовательским соглашением