Упр.46.4 ГДЗ Мордковича 10 класс профильный уровень (Алгебра)
Решение #1
Решение #2(записки учителя)
Решение #3(записки школьника)

Рассмотрим вариант решения задания из учебника Мордкович, Семенов 10 класс, Мнемозина:
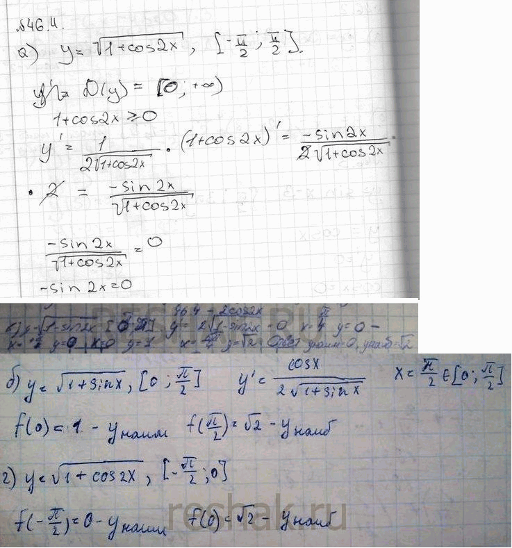
a) у = корень(1 + cos 2х), [-пи/2; пи/2]
б) у = корень(1 + sin х), [0; пи/2];
в) y = корень(1 - sin 2x), [-0; пи];
г) у = корень(1 + cos 2х), [-пи/2; 0].
Похожие решебники
Популярные решебники 10 класс Все решебники
*размещая тексты в комментариях ниже, вы автоматически соглашаетесь с пользовательским соглашением