Упр.46.19 ГДЗ Мордковича 10 класс профильный уровень (Алгебра)
Решение #1
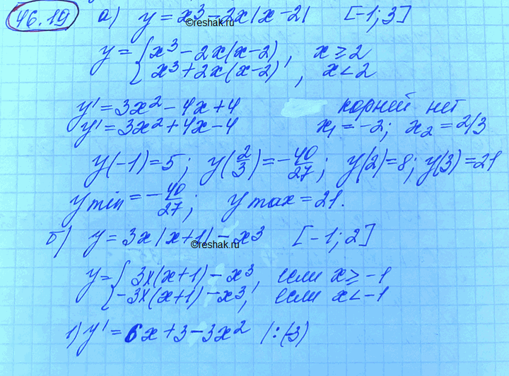
Решение #2(записки учителя)
Решение #3(записки школьника)

Рассмотрим вариант решения задания из учебника Мордкович, Семенов 10 класс, Мнемозина:
a) у = х4 + 8х3 + 24x2 + 32x + 21, [-3; 0];
б) у = х4 - 4х3 + 6х2 -4х-9, [0; 4];
в) у = 4х3 - 21х2 + 36х - 2, [1; 2];
г) у = 0,25x4 - 7/3х3 + 3,5, [-1; 2].
Похожие решебники
Популярные решебники 10 класс Все решебники
*размещая тексты в комментариях ниже, вы автоматически соглашаетесь с пользовательским соглашением