Упр.43.25 ГДЗ Мордковича 10 класс профильный уровень (Алгебра)
Решение #1
Решение #2(записки учителя)
Решение #3(записки школьника)
Решение #4

Рассмотрим вариант решения задания из учебника Мордкович, Семенов 10 класс, Мнемозина:
a) f(x) = cos x/3, а = 0;
б) f(x) = ctg 2х, а = пи/4
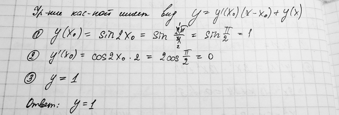
в) f(x) = sin 2х, а = пи/4
г) f(х) = 2 tg x/3, а = 0.
Похожие решебники
Популярные решебники 10 класс Все решебники
*размещая тексты в комментариях ниже, вы автоматически соглашаетесь с пользовательским соглашением