Упр.41.30 ГДЗ Мордковича 10 класс профильный уровень (Алгебра)
Решение #1
Решение #2(записки учителя)
Решение #3(записки школьника)

Рассмотрим вариант решения задания из учебника Мордкович, Семенов 10 класс, Мнемозина:
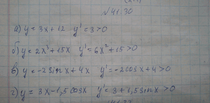
Докажите, что производная заданной функции принимает положительные значения при всех допустимых значениях аргумента:
a) у = 3х + 12;
б) у = 2х3 + 15х;
в) у = -2 sin х + 4х;
г) у = 3x - 1,5 cos х.
Похожие решебники
Популярные решебники 10 класс Все решебники
*размещая тексты в комментариях ниже, вы автоматически соглашаетесь с пользовательским соглашением