Упр.41.23 ГДЗ Мордковича 10 класс профильный уровень (Алгебра)
Решение #1
Решение #2(записки учителя)
Решение #3(записки школьника)
Решение #4

Рассмотрим вариант решения задания из учебника Мордкович, Семенов 10 класс, Мнемозина:
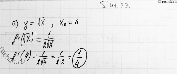
Найдите значение производной заданной функции в точке х0
a) у = корень х, x0 = 4;
б) y = x2, x0 = -7;
в) у = -3x - 11, х0 = -3;
г) у = 1/x, x0 = 0,5.
Похожие решебники
Популярные решебники 10 класс Все решебники
*размещая тексты в комментариях ниже, вы автоматически соглашаетесь с пользовательским соглашением